Accidental Morcellation of Uterine Leiomyosarcoma Influences Relapse Free Survival but Does Not Negatively Influence Overall Survival
Source : https://doi.org/10.3390/jcm12020591
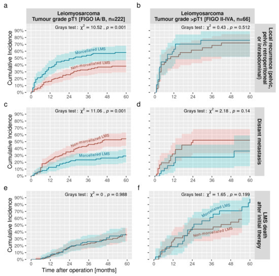
Background: Uterine leiomyosarcoma (LMS) is a rare entity amongst malignant gynaecological tumours and is mostly diagnosed after surgery for benign leiomyoma (LM) of the uterus. As minimal invasive surgery is...
Conclusions: Tumour morcellation is not associated with OS for pT1 tumours. The morcellation of pT1 LMS seems to prolong the time to distant metastases whereas local recurrence is more likely to occur after the morcellation of pT1 LMS.
-
Uterine Fibroids3yrKey Points • Source: Journal of Clinical Medicine • Conclusions: “Tumour morcellation is not associated with OS for pT1 tumours. The morcellation of pT1 LMS seems to prolong the time to distant metastases whereas Show More
A Comparative Study Of Free Psa In Women With Malignant Breast Disease And Normal Women At A Tertiary Care Centre
Source : https://www.pnrjournal.com/index.php/home/article/view/6157/7772
Return to Article Details A Comparative Study Of Free Psa In Women With Malignant Breast Disease And Normal Women At A Tertiary Care Centre
Discussion: Total and free PSA levels in women with breast cysts, uterine fibroids, and breast cancer be fore and six months after surgery are significantly higher versus acontrol group of healthy women. Tumour cells expressing hormone receptors presented a better response to hormone therapy and patients demonstrated higher...
A Study of Patients Undergoing Abdominal Hysterectomy in Tertiary Care Institute
Background Hysterectomy is one of the most common surgical procedures performed. Patient education, compliance, and socioeconomic status are important determinants in choosing the mode of treatment; however, medical treatment is...
Discussion: Findings from the current study suggest abdominal hysterectomy to be the most preferred route of surgery commonly in the women of age group 40 to 45 years or higher, precisely due to the occurrence of a higher parity rate in this age category. Fibroid uterus, dysfunctional uterine bleeding, and the presence of other menstrual...
Three-dimensional dispersion entropy for uterine fibroid texture quantification and post-embolization evaluation
Uterine fibroids can be treated with uterine fibroid embolization (UFE) procedure. * Objectively assessing the benefits of UFE and the quality of life of patients after undergoing UFE is rather...
Discussion: One of the main results of this study is the prediction, before EFU, with a 99% confidence level, of the size of the fibroid 6 months after the embolization. Additionally, this study reveals inverse correlations between the 3D texture of uterine fibroids, using MDispEn, and their morphological characteristics (like size and...
Maintenance dienogest therapy following adjuvant gonadotropin-releasing hormone agonist treatment after uterus-sparing surgery in adenomyosis: A retrospective cohort study - PubMed
Source : https://pubmed.ncbi.nlm.nih.gov/36527263/
The .gov means it's official. Federal government websites often end in .gov or .mil. Before sharing sensitive information, make sure you're on a federal government site. The site is secure....
Conclusion: The findings of this study suggest that combinatorial treatment with GnRH-a (adjuvant treatment) and DNG (maintenance therapy) represents a safe and effective short-term therapy after uterus-sparing surgery for adenomyosis.
